电压钳技术检测糖转运蛋白的转运功能
发布时间:2025-02-24
浏览次数:27573
作者:东极药物
转运蛋白(transport proteins)是膜蛋白的一大类,介导生物膜内外的化学物质以及信号交换。脂质双分子层在细胞或细胞器周围形成了一道疏水屏障, 将其与周围环境隔绝起来。尽管有一些小分子可以直接渗透通过膜,但是···

转运蛋白(transport proteins)是膜蛋白的一大类,介导生物膜内外的化学物质以及信号交换。脂质双分子层在细胞或细胞器周围形成了一道疏水屏障, 将其与周围环境隔绝起来。尽管有一些小分子可以直接渗透通过膜,但是大部分的亲水性化合物,如糖(蔗糖、葡萄糖、果糖、麦芽糖等),氨基酸,离子,药物等等,都需要特异的转运蛋白的帮助来通过疏水屏障【1】。因此,转运蛋白在营养物质摄取,代谢产物释放以及信号转导等广泛的细胞活动中起着重要的作用,下面今天讲述一下糖转运蛋白的作用和功能验证方法,供大家参考。
糖类是植物体内重要的碳水化合物,叶片光合作用合成的碳水化合物通过韧皮部运输到各个器官中,形成种子、果实、茎、块根和膨大的直根等产品器官。许多经济作物的产量和品质直接跟糖的分配和积累相关。到目前为止已有大量的研究表明糖转运蛋白在糖卸载、分配和积累的过程中发挥了关键的作用,其中广泛研究的三大糖转运蛋白家族是MST(Monosaccharide transporter-like)、SUC/SUT(Sucrose transporters)、和SWEET(Sugars will eventually be exported transporters)。MST家族是一类单糖转运蛋白,参与单糖的跨膜转运。SUC/SUT家族是一类蔗糖转运蛋白,参与蔗糖在植物体内的跨膜转运。SWEET家族是一类可溶性糖转运蛋白,参与可溶性糖在植物体内的跨膜转运。这三大糖转运蛋白家族在植物体内将糖分子从一个细胞转移到另一个细胞,以满足植物的能量需求和生长发育所需。在这个过程中,这些糖转运蛋白通过调节糖分子的转运速率和方向,维持着植物体内糖分子的平衡和稳态。
那么我们如何确定某物种中某糖转运蛋白的功能呢,下面这个文献解析给大家一些参考。【2】

拟南芥单糖转运蛋白(mst)超家族的6个基因(PLT)与先前在植物(芹菜[Apium graveolens]、大车前草[Plantago major]或酸樱桃[Prunus cerasus])韧皮部转运多元醇(甘露醇或山梨醇)的多醇转运蛋白基因具有显著的同源性。这组蛋白在拟南芥中的生理作用和功能特性尚不清楚,因此作者这篇文章向我们阐述了多元醇转运蛋白5 (AtPLT5)(这是拟南芥mst转运蛋白亚群的第一个成员)的转运功能。

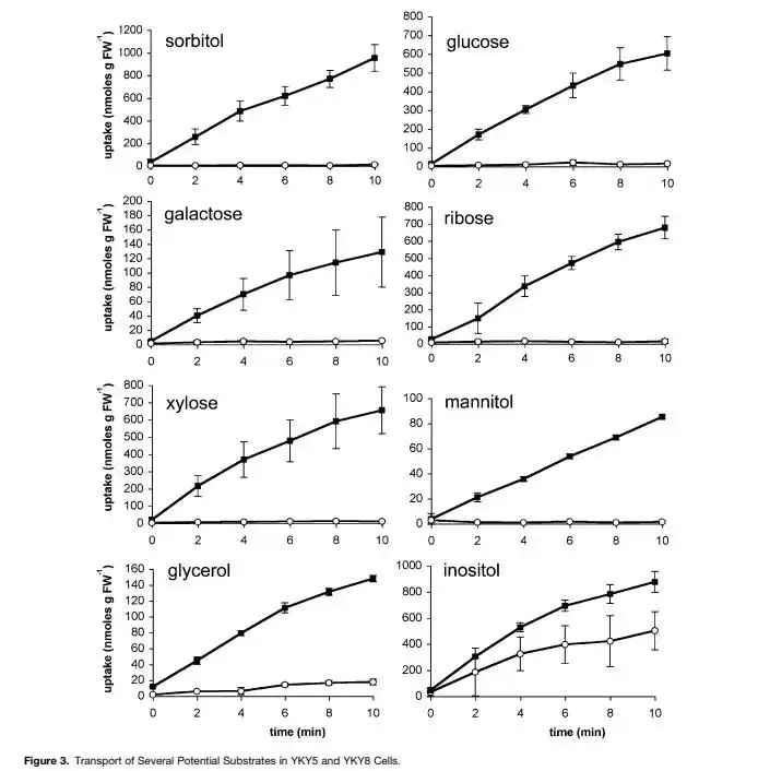
为了确定atPLT5蛋白是否也可以运输山梨糖醇和甘露醇,作者在酵母菌株SEY2102中表达了AtPLT5蛋白,通过对菌株培养中添加14C标记的山梨醇和甘露醇,检测运输能。数据表示PLT5蛋白可以转运山梨糖醇。


此外为了确定PLT5蛋白是否对所有的单糖都有运输能力,以及是否单糖之间存在竞争性运输关系,作者进行了下面实验。在酵母缺陷菌株EBY中表达PLT5,对此菌株进行多种可能潜在底物的运输分析。最终数据表示所有测试的单糖(两种己糖和两种戊糖)都以相似的速率被AtPLT5运输。这是一个重要的观察结果,因为到目前为止,还没有显示出任何来自拟南芥的高亲和力、类似于stp的单糖转运体对核糖的显著转运速率。此外在上述实验中还发现在YKY5细胞中分析atplt5驱动的甘油甚至甘露醇摄取。结合表中的竞争分析,这表明AtPLT5可以运输链长为3到6个碳的线性多元醇。到目前为止,植物细胞对甘油的能量依赖摄取机制尚未被证明。


作者同时在非洲爪蟾卵母细胞中进行了AtPLT5蛋白的功能分析,在此系统中检测了肌醇、甘油、葡萄糖、果糖等的运输能力,通过电压钳仪器记录了转运蛋白PLT5在转运糖类过程中细胞膜被刺激产生的电流,通过上述实验作者发现在无Na+的缓冲系统中,葡萄糖和甘油两种底物诱导的内向电流随着细胞外pH值的降低而增加,表明共转运的离子是质子,表明AtPLT5是一个H+转运体。对40至140 mV的肌醇Km值的额外分析表明,它与电压(Dc)有关,并且随着负电位的增加而增加。
同时作者还进行其他体内研究,所有数据表明AtPLT5位于质膜上,该蛋白被鉴定为线性多元醇(如山梨醇、木糖醇、红糖醇或甘油)的广谱H+同向转运蛋白。此外AtPLT5还催化了环多元醇肌醇和不同己糖和戊糖的转运,包括核糖(一种不被任何先前表征的植物糖转运体转运的糖)。
作者通过酵母体系以及爪蟾卵母细胞表达电压钳技术,进行了糖转运功能的探究,发表了出色的文章。大家可以借鉴此文献【2】的方法和手段,对自己感兴趣的物种中的转运蛋白功能进行检测。此外判断糖是否发生转运也可以使用HPLC方法,下面这篇文章没有使用酵母体系,直接使用爪蟾卵母细胞进行糖的吸收检测实验,方法也是被广大研究工作者所认可。【3】

本文参考文献如下:
[1] 孙琦, 黄薇, 刘芳,等. 小拟南芥转运蛋白基因及NHX2基因的克隆与表达[J]. 石河子大学学报:自然科学版, 2019, 37(2):10.
[2] Klepek Y S , Geiger D , Stadler R , et al. Arabidopsis POLYOL TRANSPORTERS5, a New Member of the Monosaccharide Transporter-Like Superfamily, Mediates${\\m H^{+\\ext{-Symport$of Numerous Substrates, Including myo-Inositol, Glycerol, and Ribose[J]. Plant Cell, 2005, 17(1):204-218.
[3] [1]Shingo, Kikuta, and, et al. Sugar transporter genes of the brown planthopper, Nilaparvata lugens: A facilitated glucose/fructose transporter[J]. Insect Biochemistry and Molecular Biology, 2010, 40(11):805-813.
文章出自:验外实包 想了解更多请关注:http://www.dj-cro.com/













